10 ecuaciones matemáticas que cambiaron el mundo

ley_de_gravitación

Desde los inicios de los tiempos, el hombre ha intentado comprender cómo funciona el mundo a través de los diferentes elementos que lo componen dando respuestas a las preguntas que se han ido encontrando mediante la expresión matemática. En la mayoría de los casos se necesitó de un tiempo prudencial y toneladas de estudios para llegar a esas respuestas, usualmente simbolizadas a través de ecuaciones

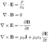
Un buen ejemplo de simplificación son las Ecuaciones de Maxwell que surgen de la teoría electromagnética y son el resumen esta teoría desde un punto de vista macroscópico. Gracias a ellas podemos ver la televisión o usar un teléfono móvil.

Desde el teorema de Pitágoras, que vincula la geometría y el álgebra, y que sentó las bases de las mejores teorías actuales de espacio, tiempo y gravedad, a la forma en la que la ecuación de Black-Scholes se aplica al cambio en el valor de las opciones, las ecuaciones matemáticas han dado respuesta a todos los interrogantes. Estos son los diez modelos matemáticos que ayudaron a cambiar el mundo y que nos han permitido comprender parte de lo que nos rodea de una forma más sencilla.

10: El modelo Black-Scholes
09: El teorema de Pitágoras
08: La transformada de Fourier
07: El teorema fundamental del cálculo 
06: Fórmula de poliedros de Euler
05: Ley de Gravitacion Universal
04: Las ecuaciones de Maxwell
03: Segundo Principio de la Termodinámica
02: La ecuación de Schrödinger
01: Teoria especial de la relatividad

El vídeo que se presenta a continuación nos muestra, en ese orden, las diez de las ecuaciones que han cambiado al mundo.

Los comentarios están cerrados.